新年度一発目の月イチ周年日

エスパス新小岩は毎月17日が月イチ周年日&毎月恒例の激アツの3daysの初日。新年度になってもその傾向は変わることなく、今回も17日から3days開幕!
ギルドの前日ポストも過去傾向を参考に強いエリアを掲載!
4/17(木)🚨傾向🚨
エスパス新小岩/月イチ周年日✨強化中の月周年日!✨
✨ジャグや⑦にまつわる機種、北斗などの強烈仕掛けに期待!✨💎毎日オススメ【からくり/ヴヴヴ/とらぶる】
主力機種【GE/モンキー/乙女/モンハン】
【少数台・Aタイプ・沖スロ・新台】も注目… pic.twitter.com/cp0SKgz4ee— スロッターギルド (@slotterguild) April 16, 2025
今回もこれまでの傾向に沿って、ジャグや毎日系、ノーマルなどから強烈仕掛けを確認!パチスロだけで勝率約50%、台平均は450枚超の超優秀成績でした。

かなり多くの機種が優秀成績だったので、結果を見ていきましょう。
ジャグから強烈仕掛け大量!
月イチ周年日はジャグが鉄板級に強いので、優先度高めで狙うべき。今回も多くのシリーズが高配分以上で全系濃厚シリーズも確認!
ファンキー2☆全台系濃厚☆


今回はファンキー2が全台系濃厚!8割弱がプラスで台平均も900枚超のプラス!毎回いちシリーズは全系濃厚になることが多いので、少台数~中台数シリーズは狙うのもあり!
マイジャグV☆1/2系以上濃厚☆



アイム☆1/2系濃厚☆


ハピジャグ☆1/2系以上濃厚☆

ミスジャグ☆1/2系以上濃厚☆

1/2系シリーズも4シリーズあり、ほとんどが勝率50%超!+2000枚や+3000枚クラスの台も確認できたので、高配分シリーズにも高品質台は複数使われていたと思われます。
列全も2カ所あり!
1-20番☆列全☆

84-91番☆列全☆

列全も2カ所あり、どちらも平均+1000枚超の優秀並び!特にファンキーとマイジャグの列全は勝率やボーナス出現率、稼働まですべて優秀でした!
主力機から全台系濃厚機種が出現!
モンハンライズ☆全台系濃厚☆

モンハンライズだけで万枚超3台!結果はもちろん稼働も優秀で、全系濃厚だったと思われます。主力機のモンハンだけで総差枚5万枚超はかなり上出来な結果でしょう。
主力機にも優秀台複数あり!
主力機☆優秀台ピックアップ☆



🎖️Lゴッドイーター(5/12台+)⏩Ave+700枚
🎖️スマスロモンキーV(8/17台+)⏩Ave+444枚
全系濃厚のモンハンライズ以外からもゴッドイーターから万枚クラスが複数出現!モンキーVからも+2000枚超が複数あり、ゴッドイーターとモンキーVは高配分以上だった可能性大!主力機は毎日優秀台がありますが、特日では頭一つ抜けて手厚い仕掛けとなっていました。
7の日機種のスマスロ北斗も好調!
スマスロ北斗☆1/2系以上濃厚☆


月周年に毎回仕掛けが絡む北斗は今回1/2系以上!不発台はありますが+8000枚や+4000枚超といった優秀台も多数あり!なによりほとんどの台が粘られているので、打っていた方は粘るべき台であることは察していたのでしょう。
毎日機種に優秀台あり!
毎日オススメ☆優秀台ピックアップ☆


🎖️ヴァルヴレイヴ(4/9台+)⏩Ave+283枚
毎日機種は北斗が高配分以上でからくり、ヴヴヴ、ToLOVEるの3機種からも優秀台あり!からくりからは万枚クラスの台が出現し、ToLOVEるやヴヴヴからは+5000枚超台アリ。ヴヴヴは勝利から見ても高配分以上はあったのでしょう!
少台数エリアにも優秀機種複数!
地下バラエティ☆優秀台ピックアップ☆

防振り☆全台系濃厚☆

シャーマンキング☆全台系濃厚☆

天膳ブラック☆全台系濃厚☆

ゴジエヴァ☆全台系濃厚☆

シスクエ☆全台系濃厚☆

🎖️スマスロ防振り(3/3台+)⏩Ave+2,600枚
🎖️シャーマンキング(2/3台+)⏩Ave+2,250枚
🎖️ゴジエヴァ(3/4台+)⏩Ave+1,950枚
🎖️スマスロバジ絆2(1/2台+)⏩Ave+1,825枚
🎖️シスクエ(2/3台+)⏩Ave+1,417枚
2Fの少台数は上記5機種が全系濃厚で、各機種1台は大量獲得台が出現!ゴジエヴァからは+8000枚クラス、その他機種からも+5000枚クラスの台が出現!少台数も毎回優秀機種があるので、悪い番号や新台系が狙いたい方はオススメ!
ノーマルにも大量獲得台あり!
ディスク2☆高配分以上濃厚☆

ディスクアップUR☆高配分以上濃厚☆

ノーマルはディスクシリーズがそれぞれ優秀!ノーマルからも毎回優秀機種があるので、狙いのジャグが取れなかったときや好きなノーマルがある方は月周年日に狙うべし!
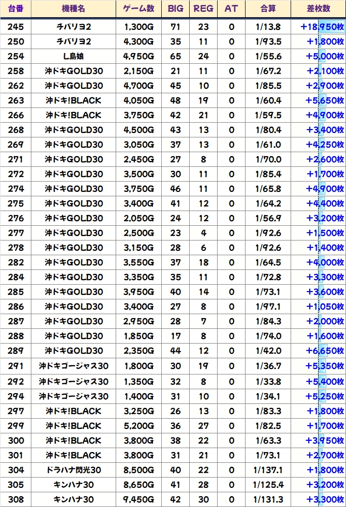
沖スロにもお宝台が数多く出現!
沖スロ☆優秀台ピックアップ☆


🎖️チバリヨ2(2/6台+)⏩Ave+2,558枚
🎖️沖ドキゴージャス30(3/6台+)⏩Ave+1,833枚
🎖️沖ドキ!BLACK(7/10台+)⏩Ave+1,710枚
🎖️L島娘(1/3台+)⏩Ave+1,583枚
🎖️沖ドキGOLD30(21/29台+)⏩Ave+1,429枚
🎖️キンハナ30(4/7台+)⏩Ave+757枚
沖スロからも優秀台が数多くあり、上記6機種は高配分以上だったと思われます。チバリヨからはコンプクラスが出現し、沖ドキシリーズからも+3000枚超台多数あり!ハナハナシリーズもツモッたときの恩恵は大きいので、ジャグなどが取れなかった際に攻めるのはありですよ。
上記以外にも優秀機種あり!
かぐや様☆全台系濃厚☆

マギレコ☆1/2系以上濃厚☆

最新のマギレコも扱いが良く、平均1000枚のプラス!かぐや様も優秀台が複数ありましたが、不発となってしまった台も多く結果としてはマイナスに。稼働を見れば粘っていたことは明らかでしょう!
島図チェック


万枚超が5台、100台以上が+2000枚以上を獲得し、総差枚20万枚超のプラスに。万枚台は4/5台が主力機から登場しているので、毎日機種や主力機の扱いが別格なのは明らか。月周年は主力機種や毎日機種、少台数、ジャグ、新台系などにさまざまなエリアに優秀台が大量に確認とどこから攻めてもお宝台にたどり着く可能性はあります!ただ、迷った際は毎日機種や主力機種から攻めることが勝利への近道ですよ。
🔽タップで拡大できます🔽